| Characteristic | Block | Dimension | Subgroups | Generators | Ext-quiver | Links |
| 2 | 1 | 28 | NG(H): 9 H: <b> |
z6, z5, a |
![]() |
Basic
Algebra |
| 2 | 28 | NG(H): 9 H: <b> |
z6, z5, a | ![]() |
Basic
Algebra |
|
| 3 | 1 | 28 | NG(H): 9 H: <b> |
z8,
z5 |
![]() |
Basic Algebra |
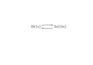
| 2 | 10 | NG(H): 9 H: <a, b> |
z11,
z5 |
![]() |
Basic Algebra | |
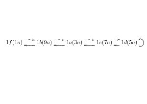
| 5 | 1 | 10 | NG(H): 13 H: <b2> |
z1, ab | ![]() |
Basic Algebra |
| 11 | 1 | 20 | NG(H): 12 H: <b2, b> |
z7, z3 | ![]() |
Basic Algebra |